module_courbes.mws

Informatique

Courbes paramétrées - coniques

Tracés en coordonnées cartésiennes

1.  Regarder l'aide sur plot , en particulier les exemples , pour voir comment tracer en Maple  une courbe paramétrée donnée sous la forme x = x(t) , y = y(t) .

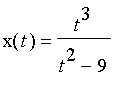
2.  On va détailler grâce à Maple  l'étude de l'arc paramétré suivant :

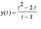
x(t) = t^3/(t^2-9)   ; y(t) = (t^2-2*t)/(t-3)

     (a)  Faites-la tracer par Maple  (en faisant décrire à t un intervalle convenable -- pas  ] -infinity ,+ infinity [ !). Il est normal d'avoir à effectuer plusieurs essais, notamment pour obtenir un aspect satisfaisant pour les branches infinies. Il ne suffit pas de spécifier l'intervalle de variation de t , il faut en outre imposer des bornes convenables à l'abscisse et à l'ordonnée.

>   

>   

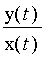
     (b)   Étude de la branche infinie pour   proc (t) options operator, arrow; infinity end proc . Déterminer à l'aide de Maple  les limites a[1]   de y(t)/x(t)  puis b[1]  de y(t)-a[1]*x(t) . Définir l'équation de l'asymptote A[1]  obtenue.

>   

>   

>   

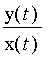
     (c)   Étude de la branche infinie pour   proc (t) options operator, arrow; 3 end proc . Déterminer à l'aide de Maple  les limites a[2]   de y(t)/x(t)  puis b[2]  de y(t)-a[2]*x(t) . Définir l'équation de l'asymptote A[2]  obtenue.

>   

>   

>   

       (d)  À l'aide de l'instruction display  de la bibliothèque plots , tracer sur un même schéma (et en couleurs différentes) la courbe et ses deux asymptotes.

>    with(plots):

>   

>   

>   

3.  Autre exemple au choix : reprendre avec l'aide de Maple  l'étude d'une autre courbe paramétrée, sans oublier les branches infinies.

>   

>   

>   

>   

>   

>   

>   

Tracés en coordonnées polaires

1. Voir l'option polar  permettant de tracer les courbes en polaires avec Maple . Noter que Maple  trace par défaut des courbes en polaires paramétriques . Essayer de tracer la cardioïde d'équation r = 1+cos(theta) . Le dessin obtenu est-il 100% satisfaisant ? Voir comment l'option scaling=CONSTRAINED  permet un meilleur tracé. Que signifie géométriquement l'utilisation de cette option ?

>   

>   

>   

2.   Cas d'une courbe présentant des branches infinies . Essayer de tracer la courbe d'équation r = theta/(theta-1) . Que dire du résultat ? Voir la commande view  pour obtenir une représentation plus raisonnable. Comme au I. , confirmer à l'aide de Maple  la nature des branches infinies.

>   

>   

>   

>   

>   

>   

3.  Utiliser Maple pour obtenir une des représentations polaires paramétriques  de l'exercice correspondant sur les courbes.

>   

>   

>   

Coniques

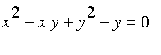
On considère la courbe algébrique ( C ) de degré 2 d'équation :

x^2-x*y+y^2-y = 0 .

1. Voir l'aide sur implicitplot  pour comprendre comment cette instruction permet le tracé d'une courbe définie "implicitement" (par une équation).

2.  Tracer la courbe ( C ). Que peut-on conjecturer à son sujet ?

>   

>   

3. Utiliser Maple  pour achever l'étude de la courbe ( C ), c'est à dire la détermination d'une équation réduite et des éléments géométriques de ( C ).

>   

>   

>   

>   

>   

>   

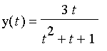
On considère maintenant l'arc défini par le paramétrage :

x(t) = 3/(t^2+t+1)   ; y(t) = 3*t/(t^2+t+1) .

4. Tracer cet arc avec Maple . Que peut-on conjecturer à son sujet ?

>   

>   

5. Utiliser Maple  pour confirmer la nature géométrique de l'arc étudié (voir l'aide sur eliminate ).

>   

>   

>   

>   

>   

>   

>   

[D'après E3A 2003 PC maths 2 ex. 3.]