module_intro_complexes.mws

Informatique

Introduction

I.    Découverte de Maple

A ce niveau, vous êtes connecté au réseau et vous disposez d'un volume personnel ( K: ) et d'un volume en lecture seule ( H: ) depuis lequel vous avez ouvert ce fichier.

Enregistrez-en une copie dans votre volume personnel K:   ( File - Save As ), sinon vous ne pourrez pas le modifier.

Les calculs que vous aurez à effectuer peuvent être faits

Ouvrez maintenant la présentation de Maple . Il vous suffit de cliquer sur le lien ci-dessous.

Vous devrez ensuite revenir à ce document grâce au menu   File - Open .

Dans la présentation, consultez les sections (1) puis (11) (obligatoirement) puis (2) à (4) et (6) (éventuellement) pour voir comment Maple  permet d'effectuer diverses sortes de calculs. Le fichier de présentation contient des exemples que vous pouvez exécuter : placez-vous sur l'un d'eux et appuyez sur Entrée .

En quittant ce fichier, bien sûr, vous ne tenterez pas d'enregistrer les modifications que vous y avez apportées.

Ouvrir la présentation.

II.  Premiers calculs

Vous pouvez fermer, si ce n'est pas déjà fait, le fichier de présentation que vous étiez en train de consulter.

Effectuez maintenant les exemples de calculs suivants en Maple  :

>   

>   

>   

>   

>   

>   

(*) Pour chaque notion inconnue, essayez de trouver dans l'aide ( Help - Contents ) la commande correspondante.

Un exemple d' édition  maintenant : supposons que vous ayez besoin de réutiliser le polynôme qui apparaît dans le dernier résultat, pour un calcul ultérieur. Pour cela sélectionnez-le : placez le curseur devant son premier terme et faites glisser (càd, déplacez la souris sans relâcher le bouton) jusqu'au dernier terme (inclus). Les termes "sélectionnés'' apparaissent en couleur différente. Choisissez alors "copier'' ( Edit - Copy  ou Ctrl+C  ou 7^`ème`  "bouton'') puis placez le curseur à l'endroit où vous souhaitez retrouver ces termes. Choisissez enfin "coller'' ( Edit - Paste  ou Ctrl+V  ou 8^`ème`  bouton) et ils réapparaissent à la bonne place. Vous pouvez ensuite réutiliser cette expression pour de nouveaux calculs.

Les calculs suivants ont lieu dans C  :

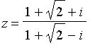
(a) Calcul de module et d'argument

Soit le complexe z = (1+sqrt(2)+i)/(1+sqrt(2)-i) . Définissez-le en Maple . Calculez son module. Calculez son argument.

>   

Il est nécessaire de le transformer avec evalc  et simplify  pour obtenir un résultat satisfaisant, et vous constaterez que l'ordre dans lequel on utilise ces fonctions n'est pas indifférent.

(b) Fonctions "problématiques"

i.    Qu'indique Maple  si l'on demande une racine carrée du complexe -i  ? Comparez sqrt(-i*(-i))  et sqrt(-i)*sqrt(-i) .

>   

ii.   Qu'indique Maple  si l'on demande un logarithme complexe de -1  ? Comparez ln(-1*(-1))  et ln(-1)+ln(-1) .

>   

iii.  Que répond Maple  si l'on calcule sin(arcsin(2))  ? Que vaut, selon Maple , arcsin(2)  (alors que cette dernière valeur n'est normalement pas définie) ? Expliquez ce résultat en revenant à la définition du sinus à l'aide de l'exponentielle complexe.

>   

III. Etude d'une fonction

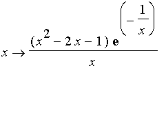
1.  Définissez en Maple la fonction proc (x) options operator, arrow; (x^2-2*x-1)*exp(-1/x)/x end proc  (Il s'agit d'une affectation à la variable f, de la forme : f:= x->  (l'équivalent Maple  de l'expression définissant f(x) ).

>   

2.  Testez une ou deux valeurs pour voir si ça marche bien ( f(1) , f(-1) ,...).

>   

3.  Même si celui-ci est ici évident, Maple  permet-il de déterminer le domaine de définition de f ? (En anglais, les points n'appartenant pas au domaine de définition d'une fonction sont dits points singuliers -- singular ).

>   

4.  Regardez les limites de f aux bornes de son domaine de définition :

   (a) En + infinity  et -infinity  (comment cela s'appelle-t-il en Maple  ?)

>   

   (b) En 0, de manière à prolonger éventuellement la fonction par continuité en ce point en posant f(0)  = ... ? Il faudra éventuellement distinguer les limites à droite et à gauche en 0.

>   

5. (a) Calculez ensuite la dérivée de f. Il sera pratique de lui donner un nom (g p. ex.). Simplifiez l'expression obtenue. Celle-ci contient manifestement exp(-1/x) en facteur. Pour une subtile raison, Maple  ne sait pas déterminer directement le signe d'une telle expression (non rationnelle).

>   

   (b) Débarrassez-vous du facteur exp(-1/x)  gênant en multipliant par exp(1/x)  (fonction h). Cela ne modifie pas le signe. Factorisez l'expression rationnelle h.

>   

   (c) Déterminez son signe en résolvant la condition " 0 < h(x) " par rapport à x . On connaît maintenant les variations de f.

>   

6.  On cherche ensuite à préciser la nature des branches infinies de f pour x ®   ± infinity . Selon la méthode habituelle :

   (a) Déterminez la limite éventuelle a  de f(x)/x  en ± infinity .

>   

   (b) Déterminez la limite éventuelle b  de f(x)-a*x  en ± infinity  et interprétez géométriquement ces résultats.

>   

7.  Il reste encore à préciser "comment" se présente la courbe au voisinage du point que l'on a rajouté (image du paramètre x = 0 ). Trouvez un calcul approprié à cette étude, effectuez-le et concluez géométriquement.

>   

8.  Pour confirmer les différentes études effectuées, représentez graphiquement sur un même schéma la courbe représentative de f et ses asymptotes éventuelles.

>